品牌展示
- YUKEN油研液壓
- REXROTH液壓泵
- VICKERS液壓油泵
- DAIKIN液壓油泵
- PARKER液壓油泵
- NACHI液壓油泵
- DENISON液壓油泵
- Marzocchi齒輪泵
- Sumitomo齒輪泵
- Danfoss液壓泵
- Berarma葉片泵
- YEOSHE液壓泵
- 東京計器液壓泵
- SALAMI齒輪油泵
- VIVOIL齒輪油泵
- CASAPPA齒輪泵
- Caproni齒輪油泵
- Bucher齒輪泵
- HESPER齒輪泵
- HYDAC齒輪泵
- Roquet齒輪泵
- Bondioli齒輪泵
- Jihostroj齒輪泵
- Duplomatic迪普馬
- METARIS齒輪泵
- ATOS齒輪油泵
- KRACHT齒輪泵
- Brevini齒輪油泵
- RONZIO齒輪泵
- 沃爾沃齒輪泵
- Commercial液壓泵
- LINDE液壓油泵
- HAWE液壓油泵
- Kawasaki液壓泵
- 赫格隆液壓馬達
- 力士樂減速機
- 其他品牌
- 維修服務
最新動態
- 01PGP610系列齒輪油泵,Parker液壓齒輪泵型號大全
- 02PARKER派克PGP620系列齒輪泵介紹??PGP620齒輪油泵型號大全
- 03DENISON T6C017,T6C020,T6C022系列葉片泵規格參數
- 04丹尼遜T6C系列葉片泵型號大全,DENISON T6C液壓泵參數及型號說明
- 05PARKER DENISON T6C系列葉片泵型號大全,技術參數
- 06F12-080-RS-SV-T-000-000,F12-110-RF-IV-K-000-000液壓馬達
- 07DAIKIN大金變量柱塞泵V38A4R-95、V50A1R-20產品說明
- 08DAIKIN 大金 V50SA2CRX-20、V70C14RHX-60變量柱塞泵產品說明
- 09HSP40、HSP50、HSP80、HSP80AT、HSP120多路換向閥分析?


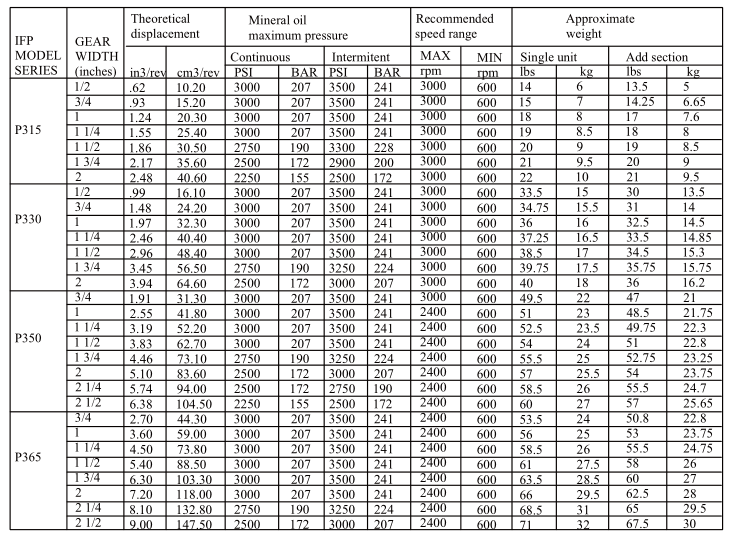
P315,P330,P350,P365齒輪泵
品牌類型:
發布時間:
其他品牌
2023-01-05 09:21:49
溫馨提示:由于產品型號太多,網站只能列出部分產品信息。如您在網站中未能找到您需要的型號,請咨詢我們的在線客服!
咨詢熱線:0755-29874345、0755-29874345
詳情介紹
-- > 產品齊全,廠家直銷,價格實惠 ,歡迎來電咨詢!!
P315,P330,P350,P365齒輪泵產品特點:
適用于多種應用提供多種排量和選件
重型套筒襯套設計
壓力平衡耐磨板
多種軸承座選項
多種安裝法蘭和軸選件
專為高效輸出而設計
堅固耐用的鑄鐵結構
提供7-9種不同的齒輪尺寸
壓力高達3500 psi
速度高達3000 rpm
多種移植選項
高強度鋼齒輪和軸組
與商用Intertech,Parker,Muncie和Metaris齒輪泵互換
P315,P330,P350,P365齒輪泵技術參數:

![【港隆液壓】液壓元件[液壓油泵,電磁閥] 一站式服務平臺](upload/20210127173032768281.png)





